浙江省足球协会关于公示2025年度第一批足球运动员技术等级称号的通知

发布日期:2025-02-22 18:16:00   来源 : 浙江足协    作者 :浙江足协    浏览量 :17
浙江足协 浙江足协 发布日期:2025-02-22 18:16:00  
17

各有关单位:

根据《中国足球协会足球运动员技术等级管理办法》和《中国足球协会足球运动员技术等级标准》的相关规定,我协会已完成2025年度第一批足球运动员技术等级的审核工作。

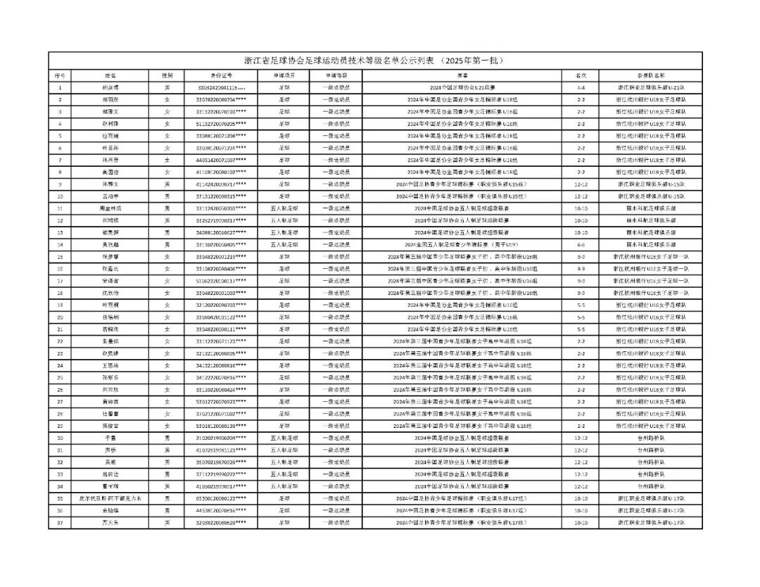
现对胡焱博等64人进行公示,公示期2025年2月21日至3月1日,具体名单见本通知附件。公示期内,如对上述运动员等级名单有异议,任何单位或个人均可以电话、书面或其他形式向浙江省足球协会反映。以单位名义反映问题的,须加盖单位公章;以个人名义反映问题的,须署名或当面反映。


联系人:  乔老师  0571-85174633
举报邮箱:664015777@qq.com;  
举报电话:0571-85064564。

浙江省足球协会

2025年2月21日


足球运动员技术等级授予名单

(2025年第1批)

图片


支持 反馈 订阅 数据